|
|
Begriffe aus der Unternehmensführung
ABC-Analyse
Verfahren zum Bestimmen einer Rangfolge nach Wichtigkeit und Bedeutung in einer Dreiteilung auf der
Grundlage eines Mengen-/Wert-Verhältnisses.
- A-Teile: nur etwa 10 % aller Artikel stellen 80% der Jahresverbrauchswerte; d.h. es sind Einzelteile mit hohem Einzelwert
- B-Teile: 20% aller Artikel mit ca. 15% Jahresverbrauchswert
- C-Teile: 70% aller Artikel mit lediglich 5% Jahresverbrauchswert; d.h. es sind Kleinteile mit geringem Einzelwert
Ablauforganisation eines Projektes
Sie regelt die logische Abfolge der Arbeiten. Den Kern der Ablauforganisation bildet die Einteilung des
Projektes in aufeinanderfolgende Abschnitte, die Phasen. Für jede Phase werden Ziele und Ergebnisse
(Meilensteine) vorgegeben.
Anforderungsermittlung
Ziel ist es ein Anforderungsprofil für eine Arbeitsaufgabe zu erstellen um dann die geleistete Arbeit gerecht
entlohnen zu können. Dafür nötige Schritte:
- Arbeitsbeschreibung: Beschreibung des Arbeitssystems und der Organisationsbeziehung
- Ermittlung der Anforderungsarten: physisch und psychisch
- Bewertung der Anforderungshöhe: Quantifizierung durch Rangordnung und Einstufung
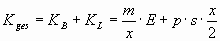
Andlersche Losgrößenformel
Im Fall fremdbezogener Teile spricht man von der Berechnung der "optimalen Bestellmenge", während es
sich bei eigengefertigten Teilen um die "optimale Losgröße" handelt. Beide Begriffe kennzeichnen
die Menge, bei der ein Minimum der Kosten bestehend aus Beschaffungs- und Lagerkosten auftritt. Diese Menge wird mit
der Andlerschen Losgrößenformel berechnet:

Herleitung:

Arbeitsbeschreibung
Oft auch als Stellenbeschreibung bezeichnet dient sie der systematischen Beschreibung von Arbeitssystemen und deren
Organisationsbeziehung. Sie umfasst:
- Arbeitsaufgabe und Arbeitsablauf
- Eingabe- und Ausgabegrößen (Information, Material, Energie)
- Betriebsmittel
- Umwelteinflüsse
- Beziehung zu den Über- und untergeordneten Arbeitssystemen
Sie muss eindeutig, zutreffend, ausführlich, verständlich, sachlich und einheitlich sein.
Zur Erstellung bieten sich Selbstaufschreibung, Fremdaufschreibung, und das Befragen an.
Arbeitsbewertung
- Summarische Verfahren: Gesamtbeurteilung durch einen globalen Bewertungsvorgang, bei dem alle
Anforderungsarten gleichzeitig berücksichtigt werden.
- Analytisches Verfahren: einzelne Anforderungsarten werden getrennt betrachtet, bewertet und gewichtet.
Arbeitsrecht
Inhaltliche und verfahrensmäßige Regelungen für das Zusammenwirken der Mitarbeiter im Betrieb.
Es gibt kein zusammengefaßtes Arbeitsrecht, sondern eine große Anzahl von Rechtsquellen:
- Große Reichweite und geringe Genauigkeit
- Grundgesetz (Menschenwürde, freie Entfaltung der Perönlichkeit, Benachteiligungsverbot)
- Mittlere Reichweite und mittlere Genauigkeit
- EU-Regelungen
- Mitbestimmungsgesetz
- Tarifvertrag
- Betriebsverfassungsgesetz
- Geringe Reichweite, aber hohe Genauigkeit
- Rechtssprechung der Arbeitsgerichte
- Tarifvertrag
- Arbeitsvertrag
Arbeitsvorgangsfolgen
Aus den gewünschten Eitgenschaften eines Fertigteils werden die erforderlichen Bearbeitungstechnologien
abgeleitet. Üblicherweise erfolgt Planung vom Groben zum Feinen unter Berücksichtigung von vorhandenen
fertigungstechnischen Möglichkeiten und vor dem Hintergrund der Wirtschaftlichkeit. In der Praxis findet sich
meist eine Kombination aus Vorwärts-(Rohteil zum Fertigteil) und Rückwärtsplanung (Fertigteil zum Rohteil).
Aufbauorganisation eines Projektes
In dieser werden die Projektfunktionen (Projektleitung, ~planung und ~überwachung, Systemplanung und ~entwicklung,
~integration, Qualitätssicherung) mit projektspezifischen Inhalten gefüllt und an bestimmte Personen als
Aufgabenträger übergeben, die für die Durchführung verantwortlich sind.
Die Aufbauorganisation regelt auch Informationswege, Entscheidungskompetenzen und -prozesse.
Auftrags- und Reihenfolgeplanung
Verschiedene Methoden:
- Material Requirements Planning (MRP I)
- Manufacturing Ressource Planning (MRP II)
- Optimized Production Technology (OPT)
- Belastungsorientierte Auftragsfreigabe (BoA)
- Kanban
- Prioritätsregeln
Auftragszentrum
Organisatorische und räumliche Zusammenfassung aller für die Bearbeitung bestimmter Aufträge erforderlichen
Mitarbeiter.
Vorteile:
- Effizienzsteigerung
- Kürzere Wege und eindeutige Abgrenzung der Verantwortungsbereiche
- Verbesserter Informationsfluß
- Vereinfachung und Beschleunigung der Abläufe durch Standardisierung und Spezialisierung der Mitarbeiter
Bedarfsarten
- Primärbedarf: verkaufsfähige Erzeugnisse
- Sekundärbedarf: Rohstoffe, Teile und Gruppen zur Fertigung des Primärbedarfs
- Tertiärbedarf: Betriebs- und Hilfsstoffe
Sind Lagerbestände zu berücksichtigen so unterscheidet man noch zwischen:
- Bruttobedarf: benötigte Materialmenge je Primär-, Sekundär- und Tertiärbedarf
- Nettobedarf : Differenz zwischen Bruttobedarf und dem verfügbaren Lagerbestand
Bedarfsermittlung
- Deterministische (bedarfsgesteuerte) Bedarfsermittlung: ausgehend von den vorliegenden Aufträgen wird der benötigte Bedarf genau ermittelt
- Stochastische (verbrauchsgesteuerte) Bedarfsermittlung: aus Vergleichswerten aus der Vergangenheit werden Prognosen über den zukünftigen Verbrauch erstellt
- Heuristische (geschätzte) Bedarfsermittlung: aufgrund von Erfahrungen und Vermutungen wird der Bedarf geschätzt
Bedürfnispyramide nach Maslow
- Selbstverwirklichung
- Ich-Bedürfnisse: Fremdwertschätzung, Status, Prestige, Achtung
- Soziale Bedürfnisse: Liebe, Zugehörigkeit
- Sicherheitsbedürfnisse: Schutz, Vorsorge, Angstfreiheit
- Physiologische Bedürfnisse: Hunger, Durst, Schlaf
Bereich
Dieser ist verantwortlich für die Koordinierung, falls verschiedene Geschäftsfelder
auf gleiche Ressourcen zugreifen.
Beschaffungsauslösung
Welche von den drei existierenden Strategien angewandt wird ist stark abhängig von der Art der Fertigung
(Einzel- oder Massenfertigung) und vom Ergebnis der ABC- bzw. XYZ-Analyse:
- Terminbezogene Beschaffungsauslösung: "Just in Time"
- Bestandsbezogene Beschaffungsauslösung
- Bedarfsbezogene Beschaffungsauslösung
Bestandsermittlung
Sie hat die Aufgabe zu überprüfen ob von den benötigten Rohmaterialien oder Einzelteilen bereits
Vorräte im Unternehmen vorhanden sind und in welchen Mengen sie bereitgestellt werden können.
Merke: Der verfügbare (!) Ist-Bestand ist die wichtigste und einzig aussagekräftige
Kenngröße!!!
Bestellplanung
Sie hat die Aufgabe die Art der Beschaffung festzulegen, die Bestellmenge zu berechnen und letztendlich den
Bestellzeitpunkt zu definieren bzw. den Bestellrhythmus zu bestimmen, so dass die benötigten Teile und
Rohmaterialien zur richtigen Zeit vorhanden sind.
Bestellzeitpunkt
Wichtig bei der Wahl des optimalen Bestellzeitpunktes sind folgende Ziele:
- Möglichst geringe Lagerbestände
- Vermeidung von Benutzung der Sicherheitsbestände oder fehlendem Material
Daraus folgen die zwei Möglichkeiten der:
(1) Bestandsbezogene Bestellauslösung oder der
(2) Plangesteuerte Bestellauslösung
Betrieb
In der Betriebswirtschaft unterschiedlich definiert; insbesondere variieren Begriffsumfang und –inhalt gegenüber
dem Begriff "Unternehmen".
Eine Definition: der Betrieb umfaßt lediglich den technischen Fertigungsbereich, während das Unternehmen
auch noch den Finanz- und Absatzbereich umfaßt.
Betriebsabrechnungsbogen (BAB)
Wichtigste Instrument zur Kostenstellenrechnung. Formal stellt er eine tabellarische Form der Kostenstellenrechnung dar,
in der im allgemeinen die Kostenarten in Zeilen und die Kostenstellen in Spalten aufgeführt sind.
Betriebskalender
In ihm werden die Arbeitstage eines Unternehmens festgelegt um die tages- bzw. schichtbezogenen Rechenoperationen zu
vereinfachen. Dazu werden in einem Normalkalender ab einem bestimmten Stichtag alle Tage einfach fortlaufend
durchnumeriert. Zwei Varianten:
- Alle Tage werden numeriert mit einer zusätzlichen Kennzeichnung ob freier Tag oder Arbeitstag mit dem Vorteil
dass in der EDV die Definition von Überstunden an einem eigentlich arbeitsfreien Tag einfacher möglich ist
- Nur Arbeitstage werden durchnumeriert
Bilanz
Die Bilanz ist eine Kurzfassung des Inventarverzeichnisses in Geld.
Sie enthält auf der linken Seite die Vermögensteile (Aktiva) und auf der rechten Seite die Schulden (Passiva)
und das Eigenkapital.
Grundsätze der Bilanzierung:
- Prinzip der Bilanzwahrheit
- Prinzip der Bilanzklarheit
- Prinzip der Bilanzkontinuität
- Prinzip der Bilanzvorsicht:
- Niederstwertprinzip
- Realisationsprinzip
- Imparitätsprinzip
Die Bilanz ist (im Gegensatz zur Gewinn- und Verlustrechnung) auf einen Stichtag bezogen.
Branchenanalyse
Analyse der Struktur der verschiedenen Wettbewerbskräfte in der Branche. Diese Struktur besteht aus den Lieferanten
(Lieferantenmacht: Monopolstellung und Einfluß auf Kosten über Einkaufspreis), den Kunden (Kundenmacht:
Preisempfindlichkeit, Wahlentscheidung), den Ersatzprodukten ("Butter zu teuer deshalb Margarine") und der
Konkurrenz.
Zu den wesentlichen Ergebnisse der Analyse gehören: Die Rentabilität der Branche und die Position des eigenen
Unternehmens innerhalb der Branche.
Branchenattraktivität
z.B.: Marktvolumen, Zuwachsraten, Wettbewerbsstruktur, Branchenrentabilität, technologische Inflation, Gesetze,
Personalangebot, soziale / Umweltprobleme, ...
Cash Flow
Er beinhaltet Finanzierungs- / Investitionsvorgänge als Indikator für Eigenfinanzierungskraft.
Berechnung:
Cash Flow = Nettogewinn + Abschreibungen + Rückstellungen + Wertberichtigungen auf Umlaufvermögen - Investitionen
Disposition
Ermittlung von Bedarf und Bestand an Materialien, Teilen, Baugruppen sowie die termingerechte Bereitstellung
der Güter. Ziele:
- geringe Bestände
- niedrige Beschaffungs- und Lagerhaltungskosten
- termingerechte Bereitstellung der benötigten Rohstoffe, Einzelteile und Baugruppen
Entgeltdifferenzierung
- Anforderungsabhängige Lohndifferenzierung mit Hilfe der Arbeitsbewertung
- Leistungsabhängige Lohndifferenzierung durch Messen und Zählen des Leistungsergebnisses
Entgeltpolitik
Sie wird von drei den Faktoren Lohnhöhe, Lohnform und Lohnverteilung geprägt.
Um eine möglichst weitgehende Lohngerechtigkeit zu realisieren wird sie in die Bereiche Leistungs-,
Anforderungs-, Verhaltens- und Sozialgerechtigkeit unterteilt.
Entwicklung
Sie umfasst neben der eigentlichen Konstruktion auch das Versuchswesen, den Musterbau, die Berechnung sowie die
Stabsstellen Normung, Zeichnungswesen, Patentwesen und Vorentwicklung.
Fabrik
Vorherrschende Form des Industriebetriebes, gekennzeichnet durch eine stark mechanisierte Produktion, räumliche
Zentralisation der Arbeitsplätze und hohe Arbeitsteilung, die den Einsatz un- oder angelernter Arbeitskräfte
ermöglicht.
Firma
Der Handelsname eines Kaufmannes unter dem er seine Geschäfte betreibt und seine Unterschrift abgibt.
Fraktale Fabrik
Ein Fraktal ist eine selbständig agierende Untenehmenseinheit, deren Ziele und Leistungen eindeutig
beschreibbar sind. Drei Eigenschaften von Fraktalen haben besondere Bedeutung:
- Selbstorganisation: ihre Abläufe werden intern optimal organisiert; sie definieren selbständig ihre Ziele; sie bilden sich selbst um und lösen sich gegebenenfalls auch auf
- Selbstähnlichkeit
- Dynamik
Funktionsbereiche in (Produktions)Unternehmen
- Planende Bereiche: Ziel-, Erfolgs-, Marketing-, Produktions-, Beschaffungs- und Absatzplanung
- Durchführende Bereiche: Konstruktion, Arbeitsvorbereitung, Fertigung, Montage, Beschaffung, Vertrieb
- Kontrollierende Bereiche: Produkt- und Kostenüberwachung, Revision, Absatzkontrolle
Führungsstil
Diktatorisch |
Partizipativ |
| - patriarchalisch |
- kooperativ |
| - hierarchisch |
- teamorientiert |
| - bürokratisch |
|
Ausrichtung des Führungsstils abhängig von:
- Persönlichkeit der zu führenden Menschen
- Aufgaben, Ziele
- Gruppendynamische Situation
- Fachliche Kompetenz
- Unternehmenskultur
- Motivation
Gantt-Chart
Hilfsmittel für die Termin- / Kapazitätsplanung und für die Auftragsüberwachung. Dient der
Darstellung der Maschinenbelegung und des Auftragsfortschrittes.
Auf der horizontalen Achse ist die Zeit und auf der vertikalen Achse die betrachtete Kapazitätseinheit aufgeführt. Einzelne Vorgänge werden als horizontale Balken, deren Länge der Vorgangsdauer
entspricht, für die jeweilige Kapazitätseinheit über der Zeit aufgetragen.
Geschäftsfeld
Geschäftsfelder sind Gruppierungen von Produkt- (Low-level, High-level, ...) / Marktsegmenten (geographisch,
demographisch, ...), die verteidigbar sind, und Wettbewerbsvorteile erreichbar machen.
Durch strategische Organisation von Geschäftsfeldern erreicht man aus der Sicht von Kunden, Wettbewerbern und
dem eigenen Unternehmen sowohl Produkt-, als auch Marktnähe.
Geschäftsfeldportfolio
- Question Marks: Hoher Finanzmittelbedarf bei geringer Kapitalfreisetzung
Strategie: entweder deutliche Steigerung des Marktanteils (Offensivstrategie) oder vom Markt nehmen
- Stars: Hoher Finanzmittelbedarf bei durchschnittlicher Kapitalfreisetzung (finanziert sich selbst)
Strategie: Marktanteil halten oder leicht steigern
- Poor Dogs: Finanzmittelbedarf gering bei geringer Kapitalfreisetzung
Strategie: starke Senkung des Marktanteils bzw. Verkauf des Know-How
- Cash Cows: Finanzmittelbedarf gering bei hoher Kapitalfreisetzung ("Zahlmeister des Unternehmens")
Strategie: Marktanteil halten
Gewinn- und Verlustrechnung
Sie ist die Gegenüberstellung von Aufwendungen und Erträgen einer Geschäftsperiode zur Ermittlung des
Unternehmensergebnisses und der Darstellung seiner Quellen.
Die Gewinn- und Verlustrechnung ist (im Gegensatz zur Bilanz) auf einen Zeitraum bezogen.
Globalisierung
- Analyse
- Kunden Ebene: Gibt es globale Kunden? Bestehen ähnliche Bedürfnisse? Vergleichbare Produkte?
- Industrie Ebene: Produktions-, Forschungs- und Lohnkosten in anderen Märkten?
- Wettbewerber Ebene: Gibt es Konflikte mit den Bestrebungen und Zielen anderer Wettbewerber?
- Kritische Inputvariable: Gibt es bereits ein gutes Logistiksystem / hohes Entwicklungsniveau?
- Planung
- Erarbeiten einer einzigen Strategie für den weltweiten Markt
- Die Planung muß künftiges Handeln durchdenken
- Aufbau einer globalen Organisation
- Ausrichtung der Organisation auf weltweite Präsenz. Dazu werden wenige Strategiezentren gegründet,
welche die Abstimmung zwischen globaler und nationaler Interessen ermöglichen, und als kompetente
Ansprechpartner dienen.
- Weltweiter Wettbewerb erfordert besondere Managerqualitäten:
- "globales Denken" ist gefragt
- Entscheidungen sind mit weitreichenderen Folgen gekoppelt
- Der Manager kann nicht mehr alle Gegebenheiten in allen Ländern aus eigener Erfahrung kennen
Globalisierung (Vorteile)
- Komparative Vorteile: Klassische Wettbewerbsvorteile wie billigere Rohstoffkosten, ...
- Betriebsgrößenersparnis in der Produktion: Durch Zentralisierung auf wenige Produktionsstandorte
verbunden mit den Vorteilen der Erfahrungskurve, im Einkauf und im Marketing
- Vorteile der Produktdifferenzierung: z.B. durch Imageverbesserung durch internationale Präsenz
- Allgemeingutcharakter von Information und Technik: vorhandenes Wissen kann in allen Teilen des Unternehmens
genutzt werden, ebenso wie teure Technik.
Hebelprodukt
Unter Hebelprodukt versteht man jenen Teil des Leistungsangebotes, der einen Engpaß bei voller
Bedürfnisbefriedigung des Marktes (produktbezogen) am besten überwindet.
Instrumente zur Strategieplanung
Lernkurve (Erfahrungskurve)
Sie liefert eine empirische Relation zwischen den Veränderungen der direkten Fertigungskosten und dem kumulierten
Produktionsvolumen. D.h. sie gibt an, um wieviel Prozent die Kosten bei einer Verdopplung der Produktionsmenge abnehmen.
Auffallend ist, daß die Kosten pro Stück bei höherer Stückzahl anfänglich überproportional
abfallen.
Kosten zum Zeitpunkt t: Ct = C0(Pt/P0)-a
Marktwachstum-Marktanteil-Matrix (Boston Consulting Group):

Die BCG-Matrix bietet drei wichtige Erkenntnisse auf einen Blick:
- Das gesamte Unternehmen, aufgeteilt in einzelne Geschäftseinheiten (GE), wird kompakt in einer Grafik
dargestellt. Die Stärken der GE sind klar erkennbar.
- Für jede GE kann eine spezielle Strategie ausgearbeitet werden.
- Der Kapitalbedarf und die Cash-flow-Erzeugung jeder GE kann ermittelt werden.
Kritikpunkt: Der Versuch, mit möglichst einfachen Mitteln komplexe Strategievorschläge zu ermitteln.
Branchenattraktivität-Wettbewerbsstärke-Matrix (McKinsey):
Zuerst werden Profil-Charts für Wettbewerbsstärke und
Branchenattraktivität erstellt, welche die internen (Marketing, Kundendienst, finanzielle Ressourcen,
Produktqualität) und externen (Gesetze, politische Strukturen, Währungspolitik) Erfolgsfaktoren bewerten.
Beide Profil-Charts werden zur Matrix aus neun Feldern zusammengefaßt, welche in jeder Richtung aus drei
Kategorien (hoch, mittel, gering) besteht, so dass eine strategische Empfehlung ableitbar ist.

Bei der Darstellung mit Kreisen in der Matrix entspricht der Kreisdurchmesser der Branchengröße, und der
dunkel eingefärbte Sektor dem eigenen Marktanteil.
Kritikpunkt: Schwierige Bestimmung der Branchenattraktivität
Lebenszyklus nach Arthur D. Little (ADL)
Der Zyklus eines Produktes ist in vier Phasen darstellbar: Entstehung - Wachstum - Reife - Alter
Kalkulation
Verfahren zur Ermittlung von Selbstkostenwerten der Produkt- bzw. Leistungseinheiten einer Unternehmung als Basis
für die Preisbildung, oder als Grundlage für unternehmerische Entscheidungen.
Key Account
Für Großkunden, die mehrere Produkte aus verschiedenen Geschäftsfeldern beziehen gibt es trotzdem
nur einen Ansprechpartner.
Konstruktionsarten
- Neukonstruktion: Erarbeiten eines neuen Lösungsprinzips bei gleicher, veränderter oder neuer
Aufgabenstellung (Konstruktionsphasen 2 bis 4 werden durchlaufen)
- Anpassungskonstruktion: Anpassen eines bekannten Systems (Lösungsprinzip bleibt gleich) an eine
veränderte Aufgabenstellung. Aufbauend auf einem bekannten Konzept werden die
Konstruktionsphasen 3 und 4 neu bearbeitet.
- Variantenkonstruktion: Variation von Größe und/oder Anordnung innerhalb von Grenzen
bestehender Systeme. Die Funktion und das Lösungsprinzip bleiben erhalten. Es wird nur
Konstruktionsphase 4 durchlaufen.
Die Häufigkeit der Variantenkonstruktion kann durch Baureihen- oder Baukastensysteme erhöht werden.
Konstruktionsphasen
- Aufgabe identifizieren
- Konzipieren (25 %)
- Entwerfen (55 %)
- Ausarbeiten (20 %)
Kosten
- Einzelkosten: Dem Produkt, dem Auftrag oder der Leistung direkt zurechenbare Kosten (Fertigungsmaterial laut
Stückliste, Fertigungslohn laut Arbeitsplan, ...)
- Gemeinkosten: Kosten, die im Betrieb ganz allgemein anfallen (Gehälter der Angestellten, Leim bei der
Regalfertigung, ...)
- Fixkosten: Kosten, die unabhängig von der Produktmenge anfallen (Pacht, Miete, Heizkosten,...)
- Variable Kosten: Kosten, die direkt von der Produktionsmenge abhängen.
- Herstellkosten: Unmittelbar bei der Herstellung anfallenden Kosten (ohne Verwaltungs-, FuE- und Vertriebskosten)
- Vollkosten: Sämtliche für ein Produkt, einen Auftrag oder eine Leistung anfallenden Kosten.
Kostenartenrechnung
Alle anfallenden Kosten werden ihrer Art (Material, Personal, ...) nach erfaßt.
Kostenminimierung
Ansatzpunkte für eine Kostenminimierung können sein:
- Exogene Veränderungen: Gesetzesänderungen, abnehmende Fixkosten, Produktionsverbesserungen
- Mengeneffekt: Kostenvorteil durch Fixkostenumlage
- Technologieeffekt: Kostenvorteil durch Produktionsverbesserungen
Kostenstellenrechnung
Alle anfallenden Kosten werden den jeweils verursachenden Stellen im Betrieb zugeordnet.
Kostenträgerstückrechnung
Alle anfallenden Kosten werden dem Produkt verursachungsgemäß zugeteilt.
Kostentreiber-Hauptgruppen
- Absatzgruppen: Volumen
- Produktkomplexität: Anzahl verschiedener Produkte, Varianten, Leistungsmerkmale
- Regionales Umfeld: Arbeits-, Materialkosten
- Organisation: Anzahl technischer Änderungen, Zeit/Termintreue, CAD-Einsatz
- Fertigungskonzept: Automatisierungsgrad, Fertigungstiefe
- Marktorientierung: Anzahl der Länder, Vertriebswege und Händler
Kundensegmentierung
- Undifferenziertes Marketing: Ein Marketingkonzept für alle
- Differenziertes Marketing: Ein Marketingkonzept für jedes Segment
- Konzentriertes Marketing: Ein Marketingkonzept für ein speziell ausgewähltes Segment
Voraussetzung für eine effiziente Marktaufsplitterung:
- Verhaltenshomogenität innerhalb der Segmente
- Verhaltensheterogenität zwischen den Segmenten
- Feinsegmentierung innerhalb eines "homogenen Grobsegments"
- Ausreichende Segmentstärke mit entsprechend großem Nachfragepotential
- Zeitliche Stabilität muß gegeben sein, um eine mittel- bis langfristige Ressourcenbindung zu rechtfertigen
Leistungsermittlung
Bei der Anforderungsermittlung werden persönliche Leistungsunterschiede der Mitarbeiter nicht berücksichtigt.
Nach dem Grundsatz der Leistungsgerechtigkeit müssen sich allerdings unterschiedliche Leistungsgrade bei Arbeiten
gleicher Schwierigkeitsstufe auf die Höhe des Arbeitsentgelts auswirken.
Im Sinne der Arbeitswissenschaft wird unter Leistung das auf einen bestimmten Zeitraum bezogene Arbeitsergebnis verstanden.
Leistungsgrad
Kenngröße in Prozent um eine Ist-Leistung mit einer Bezugsleistung in Relation setzten zu können.
Die Höhe des Leistungsgrades ist nur von zwei Faktoren abhängig: Intensität & Wirksamkeit !
Leitlinienkonzept
Hilfsmittel zur Produktüberwachung.
Um die Soll-Kennlinie wird ein erlaubter Toleranzbereich definiert. Sollte dieser Toleranzbereich einmal verlassen werden,
so sind im Rahmen der Produktsteuerung geeignete Verbesserungsmaßnahmen zu ergreifen. Der Toleranzbereich erlaubt
einerseits das frühzeitige Erkennen von Abweichungen, andererseits vermeidet er allzu häufige
Steuerungsmaßnahmen.
Leitungsspanne
Darunter versteht man die Zahl der Organisationseinheiten, die einem Verantwortlichen unterstellt sind. Je flacher
die Organisation, desto größer die Leitungsspanne.
Große Leitungsspanne bedeutet Führung durch Vertrauen, da vollständige Kontrolle nicht mehr möglich!
Lernkurve (Erfahrungskurve)
Sie liefert eine empirische Relation zwischen den Veränderungen der direkten Fertigungskosten und dem kumulierten
Produktionsvolumen. D.h. sie gibt an, um wieviel Prozent die Kosten bei einer Verdopplung der Produktionsmenge abnehmen.
Auffallend ist, daß die Kosten pro Stück bei höherer Stückzahl anfänglich überproportional
abfallen.
Logistik
Organisation, Planung und Steuerung der gezielten Bereitstellung und des zweckgerichteten Einsatzes von Gütern und
Dienstleistungen.
Lohnsäule
Der Lohn setzt sich in den meisten Fällen aus folgenden Bestandteilen zusammen:
- Anforderungsabhängiger Anteil: Grund-(Tarif-)lohn
- Leistungsabhängiger Anteil: Akkordzulage, Prämien
- Sonstige Anteile: Außertarifliche Zulagen (Fahrkostenzuschuss, Essenszuschuss), Tarifliche Zulagen
(Schichtarbeit, 13.Monatsgehalt)
Management
Der Begriff Unternehmensführung wird zunehmend als Management bezeichnet. Das Management von Systemen
läßt sich als Gestaltung, Lenkung und Entwicklung von Systemen verstehen. Oder kurz:
Management = Planen + Umsetzen + Zielkontrolle
Managementansätze
- Projektmanagement: besteht aus folgenden sechs Hauptaufgaben
- Projektziel definieren
- Projektorganisation aufbauen
- Projektablauf planen
- Projektplanung: Kosten, Termine, Milestones
- Projektführung: Motivation, Engagement, Zusammenarbeit der Mitarbeiter
- Projektsteuerung: laufende Überwachung und rechtzeitige Korrektur bei Abweichungen
- Qualitätsmanagement: dies ist eine Unternehmensstrategie, die von der Unternehmensführung als
umfassende, ganzheitliche Aufgabe aller Bereiche und Mitarbeiter initiiert werden muss. Dabei Konzentration auf
folgende wesentliche Elemente:
- den Kunden
- das Produkt / die Dienstleistung
- die manuellen und automatisierten Arbeitsprozesse
- präventives Verhalten
- Mitarbeiterorientierung
- Risikomanagement: Unterscheidung in interne (Produktionsausfall, Fehlinvestitionen, Verlust von Daten)
und externen (Veränderung des Unternehmensumfeldes) Risiken. Risikomanagement beinhaltet im wesentlichen:
- Risikofrüherkennung
- Risikoüberwachung
- Risikobewältigung
- Umweltmanagement: Erfassung gegebener und möglicher Umweltauswirkungen des Unternehmens
Marketing
Marketing ist die Führungskonzeption eines Unternehmens, bei der es darum geht:
- den Kunden in den Mittelpunkt des unternehmerischen Denken und Handelns zu stellen
- alle Entscheidungen und Aktivitäten an den Erfordernissen des jeweiligen Marktes auszurichten
- das absatzpolitische Instrumentarium (Marketing-Mix: Produkt-, Preis-, Distributions- und Kommunikationspolitik) differenziert nach Zielgruppen anzuwenden
- den Organisationsaufbau und -ablauf als Verständigungsprozeß zwischen allen Funktionsbereichen zu verstehen
Marketingkennziffern
- Marktkapazität: Gesamtheit aller Personen und Organisationen, die für die Verwendung oder den
Konsum eines Produktes oder einer Dienstleistung grundsätzlich in Frage kommen.
- Marktpotential: Absatz (Umsatz), der in einem bevorstehenden Zeitraum bei optimaler Wirksamkeit der
Absatzanstrengung aller Anbieter erreicht werden kann.
- Marktvolumen: Der im vergangenen Zeitraum von allen Anbietern getätigte Absatz (Umsatz) eines Gutes.
- Absatzpotential: Der Absatz, den ein Unternehmen in einer bevorstehenden Periode maximal zu
realisieren beabsichtigt.
- Absatzvolumen: Der Absatz, den ein Unternehmen in einer vergangenen Periode getätigt hat.
Marketing-Mix
"Waffen ("4 P’s": Product, Price, Place and Promotion), die zum Kampf
um Marktanteile benutzt werden."
Merke: Alle 4 P’s sind gleichrangig und es ist auf eine optimale Kombination zu achten!
- Produktpolitik: Hier kommt es auf Qualität, Zuverlässigkeit, transparente Dokumentation, geringe
Servicekosten, Beratung, Standardisierung, Kompatibilität, ... an.
- Preispolitik: Sehr durchschlagkräftig, muß aber gut überlegt eingesetzt werden.
Entscheidend sind: Produktpreis, Rabatte, Zahlungsbedingungen, Kredite, ...
- Distributionspolitik:
- Akquisitorische Distribution: Direkt- und Indirektvertrieb (Bürofachhandel, Versandhandel, Systemhäuser,.)
- Physische Distribution: Logistik und Transport und die Informationsströme im Unternehmen
- Kommunikationspolitik: Man versteht darunter: Absatzwerbung, Firmenwerbung, Verkaufsförderung,
Öffentlichkeitsarbeit
Marketingphilosophien
- Produktorientiertes Marketing: Man versucht im Kunden ein Bedürfnis zu erwecken, welches mit dem eigenen
Produkt befriedigt werden kann.
Das Angebot geht oft am Markt vorbei
- Bedürfnisorientiertes Marketing: Es wird versucht, ein bereits vorhandenes Bedürfnis im Kunden durch
ein darauf ausgerichtetes und eigens produziertes Produkt zu befriedigen.
Unrentabel, wegen ungenügender Rücksichtsnahme auf vorhandene
Mittel und Kostensituation
- Aktives Marketing: Die Kommunikationsinstrumente Werbung, Sales Promotion (Verkaufsförderung),
Verkaufsgespräche und die Preispolitik werden häufig und intensiv eingesetzt. Wird immer notwendiger durch:
kürzere Produktlebenszyklen, schnellere technologische Innovationssprünge, immer aggressiveren Wettbewerb.
Zu teuer wegen Wirkungsverflachung
- Passives Marketing: Liegt dann vor, wenn den Kommunikationsinstrumenten im Rahmen des Marketing-Mix keine
offensive Bedeutung zukommt, z.B. wenn ein Verkäufer auf Bestellungen von Kunden wartet.
Kontakt zum Markt geht verloren
Markt eines Landes
Produktion + Einfuhr - Ausfuhr = Markt
Marktkonstellationen
Verkäufermarkt |
Käufermarkt |
Konkurrentenmarkt |
- Anbieter bestimmen die Spielregeln
- Mangelwirtschaft
- Wenig Differenzierung
- Kaum Selektion
- Alle Abnehmer gleich
|
- Abnehmer bestimmen die Spielregeln
- Hoher Marktsättigungsgrad in allen Teilmärkten
- Starke Differenzierung
- Spezielle Marktsegmente
- Alle Abnehmer gleich und zugleich einzigartig
|
Wie Käufermarkt, aber zusätzlich:
- Zwang zu immer neuen Wettbewerbsvorteilen, ohne zwingende Forderung des Marktes
|
Marktsegmentierung
Aufteilung des Marktes in klar abgegrenzte Untergruppen.
- Segmentierung im Investitionsgütermarkt:
- Makrosegmentierung: Potentielle Kunden werden auf mögliche Einsatzbereiche, Verwendungsarten,
Unternehmensgrößen, Branchen- und Unternehmensmerkmale überprüft.
- Mikrosegmentierung: Dient der endgültigen Zielgruppenfindung durch direkte Ansprache der Nachfrager.
Merkmale wie Innovationsfreude, Risikobereitschaft und Autoritätsstatus (Kompetenz, Funktion) sind interessant.
- Segmentierung im Konsumgütermarkt:
- Geographie (Nationalität, Bevölkerungsdichte, ...)
- Demographie (Alter, Geschlecht, Beruf, Familiengröße, ...)
- Sozio-Ökonomische Eigenschaften (Einkommen, Soziale Schicht, Kaufmenge, Kaufhäufigkeit, ...)
- Psychographie (Lebensstil, Einstellungen, Persönlichkeitsstruktur)
Marktstudien - Vorgehensweise
- Aufgabenstellung
- Marktentwicklung, -bedürfnisse, -anforderungen
- Mögliche Technologien
- Nachfragepotential
- Definition zentraler Begriffe
- Methodische Vorgehensweise
- Primär Marktforschung:
- Experteninterviews
- Schriftliche Befragung wichtiger Anwenderbranchen
- Sekundäre Marktforschung:
- Auswertung von Fachliteratur
- Auswertung statistischer Daten
- Wichtige Gesichtspunkte bei der Prognose des zukünftigen Nachfragepotentials
- Datensammlung sollte möglichst auf unabhängigem, amtlich erhobenem statistischen Urmaterial aufbauen
- Arten der potentiellen Nutzer muß festgelegt sein
- Zielmarkt muß genau abgegrenzt sein
- Es muß festgelegt sein, welchen Absatz / Umsatz man in einem bevorstehenden Zeitraum erreichen will
Marktwachstumsrate
Sie errechnet sich aus der Differenz des Marktes im Jahre n und dem Markt im Jahr (n-1) dividiert durch den Markt im
Jahr (n-1).
Die Marktwachstumsrate wird beim "Instrument zur Strategieplanung" der Boston Consulting
Group gebraucht.
Maschinenstundensatzrechnung
Kostenstellen werden bis zu den einzelnen Arbeitsplätzen aufgeteilt, d.h. es ist eine verfeinerte
Kostenstellenrechnung:
Modulare Fabrik
Sie beruht auf dem Prinzip der Segmentierung, wobei ein Segment die Zusammenfassung produktorientierter
Organisationseinheiten darstellt. Das Kernelement dieser Organisationsstruktur ist die Team- oder Gruppenarbeit.
Die einzelnen Module sind:
- Management Center: Strategische Führung, zentrale Koordination, Finanzhoheit, Personalpolitik
- Kompetenz Center: Modulübergreifende Aufgabenstellungen, Sicherstellung des Know-how Transfers,
produktbezogene Forschung und Grundlagenentwicklung
- Profit Center: produktbezogene Wertschöpfungstätigkeiten, Ertragsmaximierung, Marktpreise
- Service Center: zentrale Dienstleistungen am Standort
- Cost Center: Kostenminimierung, Leistung wird intern genutzt
Nachfrage
Durch das Bewußtwerden oder Bewußtmachen von Bedürfnissen entsteht Bedarf, der sich in Nachfrage
äußert.
Nutzen
Er bedeutet, daß der Wert eines Gutes nicht von Preis oder Kosten abhängig ist, sondern von der Eignung,
menschliche Bedürfnisse zu befriedigen.
Es wird unterschieden zwischen: Kosten-, Kommunikativer-, Dienstleistungs- und Technischer Nutzen
Organisationsdilemma
Der Konflikt zwischen den zwei organisatorischen Richtungen ist unlösbar:
Zentralisierung
Vorteil: Synergieeffekte nutzbar
Nachteil: Langsam (tiefe vertikale Organisation)
|
Dezentralisierung
Vorteil: Schnell
Nachteil: Mehrfacheinsatz von Ressourcen
|
Organisationsformen
Die statische Aufbauorganisation (Linienorganisation) kann erfolgen nach:
Sparten
- Einzelne Geschäftsbereiche
- "One man, one business"
- jeder Bereich ein Ertragszentrum
|
Funktionen
(z.B.: Entwicklung, Fertigung, Vertrieb,...)
- Synergieeffekte
- Nur Vertrieb erwirtschaftet Gewinn
|
Personalplanung
Zwei prinzipielle Arten:
- Quantitative Personalplanung: legt ein Mengengerüst an Mitarbeitern zur Deckung des
Kapazitätsbedarfs fest
- Qualitative Personalplanung: legt ein Qualifikationsprofil bei Mitarbeitern zur Deckung des
Kompetenzbedarfs fest
Vier Phasen der Personalplanung:
- Personalbedarfsplanung: Ermittlung und Festlegung des zukünftigen Soll-Personalbestandes
- Personalbeschaffungsplanung: Beschaffung von Mitarbeitern hinsichtlich benötigter Anzahl, Qualifikation
- Personalentwicklungsplanung: Ermittlung der Qualifikationsdefizite und geeigneter Entwicklungsmaßnahmen
- Personaleinsatzplanung: qualitative und quantitative Zuordnung von Mitarbeitern zu Arbeitsplätzen
Planungsablauf eines Projektes
Portfolioanalyse
Verdichtete Darstellung der Ergebnisse der Umwelt- und der Stärken/Schwächen-Analyse in einer Matrix.
- Question Marks: Hoher Finanzmittelbedarf bei geringer Kapitalfreisetzung
Strategie: entweder deutliche Steigerung des Marktanteils (Offensivstrategie) oder vom Markt nehmen
- Stars: Hoher Finanzmittelbedarf bei durchschnittlicher Kapitalfreisetzung (finanziert sich selbst)
Strategie: Marktanteil steigern
- Poor Dogs: Geringer Finanzmittelbedarf bei geringer Kapitalfreisetzung
Strategie: starke Senkung des Marktanteils bzw. Verkauf des Know-How
- Cash Cows: Geringer Finanzmittelbedarf bei hoher Kapitalfreisetzung ("Zahlmeister des Unternehmens")
Strategie: Marktanteil halten
Prämienarten
- Mengen-Prämie
- Güte-Prämie
- Nutzungs-Prämie
- Ersparnis-Prämie
- Sorgfalts-Prämie
- Termin-Prämie
- Kombinierte Prämie
Prioritätsregeln
Berechnungsschema, mit dem bei der Planung des Produktionsprozesses die Bearbeitungsreihenfolge von Arbeitsgängen
in der Fertigung bestimmt werden kann.
Folgende Prioritätsregeln sind in der Praxis am häufigsten anzutreffen:
- Kürzeste Operationszeitregel (KOZ-Regel)
- Längste Operationszeitregel (LOZ-Regel)
- Kleinste Restbearbeitungszeitregel (KRB-Regel)
- Größte Restbearbeitungszeitregel (GRB-Regel)
- First-In, First-Out Regel (FIFO-Regel), auch First-Come, First-Serve Regel (FCFS-Regel)
- Schlupfzeitregel
Produktionsregelung
Kontrolle des Auftragsfortschrittes mit Hilfe eines aus der Regelungstechnik übernommenen Prinzips der
Rückkopplung. Voraussetzung dafür ist der Einsatz von Informationssystemen von der Planung bis
hin zum Arbeitsplatz und eine optimale Gestaltung des Reglersystems. Damit ist es dann möglich:
- eine schritthaltende Anpassung der Belegungspläne an sich ändernde Fertigungssituationen vorzunehmen
- eine schnelle Reaktion auf Störungen bzw. Ausnahmesituationen zu gewährleisten
- die Einhaltung der geforderten Zielgrößen zu garantieren
Produktivität - Kennzahlen zur ...
- Pro-Kopf-Wertschöpfung = Materialeinsatz / Anzahl Mitarbeiter
- Pro-Kopf-Leistung = Leistung / Anzahl Mitarbeiter
- Pro-Kopf-Umsatz = Umsatz / Anzahl Mitarbeiter
Produktlebenszyklus
Produktplanung
Systematische Suche und Auswahl zukunftsträchtiger Produktideen und deren Umsetzung.
Produktpolitik
- Programmerweiterung:
- Produktneueinführung: Diversifikation und Innovation verschaffen eine Alleinstellung am Markt und
dadurch verbesserte Gewinnerwartungen
- Produktmodifikation: Variation und Differenzierung soll das "Absinken des Astes im
Produktlebenszyklus" hinauszögern. Meist weniger riskant als Produktneueinführung, da bereits
Erfahrungen am Markt vorliegen.
- Programmbeschränkung: Bereinigung und Elimination von Produkten bei unbefriedigender Ertragskraft.
Es sind die zu erwartenden Kundenreaktionen zu berücksichtigen!
- Programmerhaltung: bestehendes Produkt wird unverändert beibehalten
Projekt
Ein (mehr oder weniger konkret) vorgegebenes Ziel soll zu einem bestimmten Termin mit bestimmten Ressourcen erreicht werden.
Die Ressourcen (Mitarbeiter, Geldmittel,...) sind dabei begrenzt.
Projektmanagement
Dies ist ein Führungskonzept zur Realisierung von Vorhaben, deren Ziel vorgegeben ist. Es umfaßt neben
der Organisation die Planung, Überwachung und Steuerung der Aufgaben und Ressourcen, die für das Erreichen
des Zieles erforderlich sind.
Leitlinien:
- klare Zielsetzung für ein Projekt
- personifizierte Aufgaben und Verantwortung im Projekt (was hohe Motivation erfordert!)
- Anwendung von Strukturierungsmethoden
Projektmanagement-Systeme
Unterstützung des gesamten Auftrasplanungs- und Abwicklungsprozesses. Dafür werden folgende Module eingesetzt:
- Projektstrukturplan-Modul
- Terminplan-Modul
- Kapazitäten-Modul
- Kosten-Modul
- Dokumentation-Modul
Prozessorientierte Gestaltung der Ablauforganisation
Organisation eines Unternehmens genau nach der Wertkette von Porter.
Qualitätsmanagement in Entwicklung und Konstruktion
- Quality Function Deployment (QFS): formalisierte und systematische Umsetzung (Was - Wie) der
Kundenanforderungen in Qualitätsanforderungen des Produktes
Erstellung des "House of Quality"
- Design Review (DR): formale und systematische Überprüfung von Entwicklungsergebnissen zur
Feststellung von Problembereichen und Unzulänglichkeiten
- Fehler-Möglichkeits- und Einfluss-Analyse (FMEA): formalisierte, analytische Methode zur
systematischen Erfassung und Vermeidung potenzieller Fehler durch ein interdisziplinäres Team
- Fehlerbaumanalyse (FBA): Methode um eine abgesicherte Aussage über das Verhalten eines
Systems bezüglich eines bestimmten Ereignisses zu machen.
Rechnereinsatz in der Entwicklung und Konstruktion
- CAD: "Computer Aided Design"; Konstruktion mit Computerunterstützung
- EDM: "Engineering Data Management"; Unterstützung bei der Integration von Abläufen
und Daten; Kopplung zwischen technischen und kaufmännischen Systemen
- PDM: "Product Data Management"; gleiche Funktionalität wie EDM-Systeme
Rechnungswesen
Die allgemeine Aufgabe des Rechnungswesens ist, das gesamte Unternehmensgeschehen, insbesondere auch den Prozeß
der betrieblichen Leistungserstellung (Produktion) und Leistungsverwertung (Absatz) zahlenmäßig zu erfassen,
zu überwachen und auszuwerten. Die Hauptaufgaben des Rechnungswesens sind somit:
- Dokumentationsaufgabe: alle Geschäftsvorfälle auf Grund von Belegen, die Vermögen,
Kapital, ...betreffen
- Kontrollaufgabe: Überwachung der Wirtschaftlichkeit und Rentabilität des Unternehmens
- Dispositionsaufgabe: Bereitstellung von aufbereitetem Zahlenmaterial als Entscheidungsgrundlage
- Rechenschaftslegungs- und Informationsaufgabe: gegenüber Finanzbehörde, Gläubiger,
Aktionäre, ...
Rentabilität - Kennzahlen zur ...
- Kapitalumschlag = Umsatz / Gesamtkapital
Dient als Kennzahl für die Kapitalintensität eines Unternehmens.
- Kapitalrendite = Umsatzrendite * Kapitalumschlag
Produkt aus Umsatzrendite mal Kapitalumschlag; Gibt den Zusammenhang zwischen Kapitalumschlag und Rentabilität an.
- Umsatzrendite = Gewinn (Verlust) / Umsatz
- Eigenkapitalrendite = Gewinn (Verlust) / Eigenkapital
- Gesamtkapitalrendite = [Gewinn (Verlust) + Zinsen] / Gesamtkapital
Return on Investment (ROI)
"Der Ertrag auf eine Investition" sollte zwischen 10% und 30% des eingesetzten Kapitals betragen.
Standardarbeitsplan
Standardisierter, vordefinierter Arbeitsplan für eine bestimmte Werkstückklasse. Ziel ist es durch sie
eine Reduzierung des Planungsaufwandes und eine Standardisierung der Fertigungsabläufe zu erreichen..
Zwei Möglichkeiten für ihren Einsatz:
- Referenzieren des Plans: d.h. für ein Werkstück wird lediglich ein Bezug auf den Original
Standardarbeitsplan hergestellt. Dies macht leichte Massenänderungen möglich
- Kopieren des Plans: d.h. für jedes Werkstück wird mit einer Kopie des Originals gearbeitet. Der Vorteil ist,
dass der Original-Standardarbeitsplan weiterentwickelt werden kann, ohne unkalkulierbare Änderungen in
vorhandenen Plänen zu bewirken; Massenänderungen sind nicht mehr möglich!
Strategisches Dreieck
Strategisches Dreieck des Management
Strategisches Zieldreieck
Stücklisten
Formalisierte Verzeichnisse der in einer Baugruppe bzw. in einem Erzeugnis enthaltenen Elemente und deren Mengen
einschließlich Normteilen, Fremdteilen und Hilfsstoffen.
- Nach dem Aufbau unterscheidet man:
- Mengenstücklisten: unstrukturiertes Verzeichnis, in welchem die Mengen aller Einzelteile eines
Erzeugnisses gelistet sind
- Strukturstücklisten: wie Mengenstückliste, aber gegliedert nach Baugruppen
- Baukastenstücklisten: enthält für jedes Enderzeugnis oder jede Baugruppe nur die
Baugruppen oder Einzelteile der nächst tieferen Fertigungsstufe
- Variantenstücklisten: "Plus-Minus-Stückliste" oder "Gleichteilstückliste"
- Nach dem Verwendungszweck wird untergliedert in:
- Eigenfertigungsstücklisten
- Kaufteilstücklisten
- Montagestücklisten
- Materialstücklisten
Szenariomanagement
Allgemeinverständliche Beschreibungen möglicher Situationen in der Zukunft, die aus einem komplexen Netz
von Einflussfaktoren beruhen. Dabei wird besonders die Vernetzung des Unternehmens mit der Umwelt erfaßt ,
ie relevanten Einflußgrößen identifiziert und aus ihnen komplexe Zukunftsbilder abgeleitet.
Technische Auftragsabwicklung (TAA) - Kennzahlen
Die Wettbewerbsfähigkeit eines Unternehmens vermindert sich falls:
- Durchlaufzeiten steigen
- Informations- und Materialbestände groß sind
- Kosten hoch sind
- Auslastung gering ist
- Termintreue gering ist
Verbesserungen möglich durch Simultaneous Engineering (SE), Rechnerintegration (CIM)
und Qualitätsmanagement (QM)
Technische Auftragsabwicklung (TAA) - Zeitanteile
Merke: Der größte Zeitanteil nimmt das "Warten" ein!!!
- Aufteilung der Durchlaufzeit:
- 55 % Konstruktion, Beschaffung, Auftragsvorbereitung
- 22 % Mechanische Fertigung
- 23 % Montage
- Aufteilung der Zeit der Mechanischen Fertigung:
- 10 % Durchführungszeit
- 5 % Transportzeit
- 85 % Liegezeit
Teileverwendungsnachweis (TVN)
Er zeigt für jedes Teil unter Angabe seiner Menge in welchen übergeordneten Gruppen und Erzeugnissen es
enthalten ist. Dies ist interessant für die Konstruktion (im Falle von Änderungen) oder für die
Materialdisposition.
Terminplanung
- Vorwärtsterminierung: festlegen des frühesten Endetermins
- Rückwärtsterminierung: festlegen des spätesten Anfangstermins
- Erarbeiten des kritischen Pfades: bei Auftragsnetzen mit parallelen Pfaden der längster
geschätzte Durchlauf
- Null-Fehler-Programm: dies ist der kritische Pfad (da er keine Puffer enthält)
Triade
Dreiteilung des Weltelektromarktes auf die NAFTA (North American Free Trade Agreement), West-Europa und Südostasien.
Umfeldeinflüsse auf Unternehmen
Die ersten drei beeinflussen das Unternehmen direkt, und durch ihren Einfluß auf die Märkte auch noch indirekt!
- Politik: Wähungs- und Kreditpolitik, Steuern, Umweltschutz
- Naturwissenschaft und Technik: verbesserte Verfahren, neue Werkstoffe
- Gesellschaft: Arbeitszeiten, Einkommen, Ausbildungsstand
- Märkte: Dynamik der Nachfrageentwicklung, Preis- und Termindruck, Konkurrenz, Internationalisierung
Umsatz
Alle in einer Periode (üblicherweise ein Jahr) verkauften, mit ihren jeweiligen Verkaufspreisen bewerteten
Leistungen (Erlöse).
Umsatz = Preis mal Menge
Unternehmen
Dauerhafte organisatorische Einheit, in der wirtschaftliche Aufgaben (Produktion von Sachgütern, Bereitstellung
von Dienstleistungen) zum Zweck der Erfolgserzielung (vor allem der Gewinnmaximierung) erfüllt werden.
Unternehmensgrundsätze
Sie stecken den Tätigkeitsrahmen eines Unternehmens restriktiv ab, da sie eine Abgrenzung gegenüber dem
geben, was das Unternehmen nicht tun will oder soll.
Unternehmenskennzahlen
- Produktivität = Produktionsleistung / Einsatz für die Produktion
- Wirtschaftlichkeit = Ertrag / Aufwand
- Rentabilität = Gewinn / Eingesetztes Kapital
Unternehmensnetzwerke
Organisationskonzept, das in der Lage ist sich besonders schnell an wandelnde Umweltbedingungen anzupassen und
flexibel zu reagieren. Vorteile: Synergieeffekte, Verstärkung der strategischen Kernkompetenz der
einzelnen Teilnehmer
Typen:
- Strategisches Netzwerk
- Operatives Netzwerk
- Regionales Netzwerk:
- Virtuelles Unternehmen
Unternehmensziele
Die angestrebten zukünftigen Zustände eines Unternehmens, die unter Berücksichtigung des
Unternehmenszwecks und der Unternehmensgrundsätze von den autorisierten Entscheidungsträgern festgelegt
und für verbindlich erklärt werden.
Verschieden unterscheidbar:
- quantifizierbare (Wachstum, Gewinn, Rentabilität) und nicht quantifizierbare
(Unabhängigkeit, Flexibilität) Ziele
- Sachziele (angestrebte Märkte, neue Produkte), Wertziele (monetäre Ziele) und
Sozialziele (Verhalten gegenüber Mitarbeitern und Umwelt)
Ursachen für die Weiterentwicklung von Organisation und Führungssystemen
- Technologischer Wandel
Hohe Forschungs- und Kapitalintensität
Zwang zu großen Volumina
- Globalisierung der Märkte
angemessene Präzenz auf
den Märkten der Triade Schaffung neuer Erfolgspotentiale
- Veränderungen der Wettbewerbslandschaft
Anpassung der eigenen
Unternehmenspolitik Anpassung der Führungs- und Organisationsstrukturen
Vertikalisierung
Alle zur Strategieumsetzung nötigen Ressourcen unterliegen dem direkten Zugriff des Unternehmers.
Wesentliche Prinzipien hierfür: eindeutige Entscheidungskompetenz und vollständiger Ressourcenzugriff.
Vorgabezeiten
Diese können auf verschiedene Art und Weise ermittelt werden:
- Zeitstudien nach REFA: Beobachten und messen von benötigten Arbeitszeiten
- Multimomentanalyse: Stichprobenverfahren, das Aussagen über die prozentuale Häufigkeit /
Dauer von unregelmäßigen Aufgaben erlaubt
- Systeme vorbestimmter Zeiten: bereits erfaßte Zeiten von Bewegungselementen werden zu einem
komplexen Ganzen zusammengefaßt
- Befragungen: Einzelbefragung, Betriebsumfrage oder ergänzende Befragungen
Vorteilsmatrix
Sie stellt den Zusammenhang von Wettbewerbsvorteilen und Mengen dar.
Werk
Räumlich zusammenhängende Produktionsstätte innerhalb eines Unternehmens.
Wertkette nach Porter
Sie zeigt den Gesamtwert, den ein Abnehmer bereit ist für die Leistung des Unternehmens zu zahlen.
Wettbewerbskräfte (Porter’s 5 Forces)
Die Attraktivität einer Branche wird generell durch fünf Wettbewerbskräfte bestimmt:
- Potenzielle neue Konkurrenten: abhängig von den Eintrittsbarrieren und den zu erwartenden Reaktionen etablierter Unternehmen. Hohe Eintrittsbarrieren durch Kundenloyalität, lern- und erfahrungskurvenbedingte Kostenvorteile
- Ersatzprodukte: Gefahr steigt je geringer die Umstiegskosten für die Kunden
- Verhandlungsstärke der Kunden: steigt je größer ihr Konzentrationsgrad (Großunternehmen)
- Verhandlungsstärke der Lieferanten: steigt wenn hohe Kosten bei Lieferantenwechsel, wenige Alternativlieferanten vorhanden, großer Einfluß der Zulieferteile auf Kosten/Qualität des Endproduktes
- Rivalität unter den bestehenden Unternehmen: abhängig vom Branchenwachstum und dem Differenzierungsgrad der Produkte
Wettbewerbsstärken
z.B.: Marktanteile, Vertreterstab, Marketing, Kundendienst, FuE, Herstellung, Vertrieb, finanzielle Ressourcen,
Image, Breite der Produktlinie, ...
Wettbewerbsstrategien
- Kostenführerschaft: niedrigere Kosten als die Konkurrenz verursachen; meist nur möglich
wenn in großen Stückzahlen produziert wird und die erforderlichen Rohstoffe günstig beschafft
werden können. Dafür ist dann meist auch ein großer Marktanteil nötig.
- Zeitführerschaft: "Time is money!" Die Zeitwahl des Markteintritts, die Entwicklungszeit
die Bearbeitungszeit und die Fertigungszeit spielen eine Rolle.
- Vorteil des Pioniers: Sicherung von Patenten, Wahl des Standortes, Bindung des besten Personals, ...
Nachteil des Pioniers: Hohe Entwicklungskosten, da man nicht aus Fehler anderer lernen kann
- Vorteil des Followers: aus Fehlern des Pioniers lernen, kann in bestehenden Markt, bessere Kalkulation
Nachteil des Followers: bei kurzen Lebenszyklusdauern ist die Zeit für den Cash Flow sehr kurz
- Qualitätsführerschaft: Ziel ist es, fortwährend die technologischen Veränderungen
aufmerksam zu verfolgen, und falls nötig, sich danach zu richten. Dies bedeutet, daß man neue Technologien
entweder (bei guter Verfügbarkeit und geringer strategischer Bedeutung) einkauft, oder aber durch eigene FuE in
der Lage ist, diese selbst herzustellen (insbesondere bei hoher strategischer Bedeutung und geringer Verfügbarkeit).
Wettbewerbsvorteil
Eine im Vergleich zur Konkurrenz überlegene Leistung.
Fünf Prinzipien zur Schaffung von Wettbewerbsvorteilen:
- Überlebensprinzip: Man muß zumindest einen strategischen Wettbewerbsvorteil (von relativer Dauer) vorweisen können.
- Chancenprinzip: Je mehr wichtige Wettbewerbsparameter vorhanden sind, desto größer die Chancen zur Schaffung von Wettbewerbsvorteilen.
- Wahrnehmungsprinzip: Nicht technisch-objektive, sondern nur vom Kunden subjektiv wahrgenommene Wettbewerbsvorteile zählen.
- Konzentrationsprinzip: Lieber bei wenigen Wettbewerbsparametern führend sein, als bei vielen nur Durchschnittsleistung erbringen.
- Konsistenzprinzip: Strategische Wettbewerbsvorteile sind in erster Linie bei jenen Wettbewerbsparametern zu erzielen, welche für den Kunden am wichtigsten sind, bei weniger wichtigen Parametern sind weniger gute Leistungen dagegen in Kauf zu nehmen.
Workflow-Management-Systeme
Rechnerinterne Modellierung realer Geschäftsprozesse. Der Einsatz dieser Systeme bietet sich bei in hohem
Maße standardisierbaren, häufig wiederkehrenden Abläufen im Rahmen der technischen Auftragsabwicklung
an und ist insofern besonders bei Massen- oder Großserienfertigung zum Auftragsmanagement sinnvoll einsetzbar.
XYZ-Analyse
Wie ABC-Analyse, ausser dass die Artikel nicht nach ihrem Wert sondern nach ihren zeitlichen
Verbrauchsverläufen unterschieden werden:
- X-Teile: konstanter Verbrauch
hohe Vorhersagegenauigkeit
- Y-Teile: schankender Verbrauch
mäßige Vorhersagegenauigkeit
- Z-Teile: völlig unregelmäßiger Verbrauch
geringe Vorhersagegenauigkeit
Zuschlagskalkulation
Gekennzeichnet durch die Trennung von Einzel- und Gemeinkosten. Während man die Einzelkosten den Leistungen
direkt zurechnet werden die Gemeinkosten mit Hilfe von Kalkulationssätzen "zugeschlagen".
|